1 1 6 1 4 найдите значение
1 1 6 1 4 найдите значение.
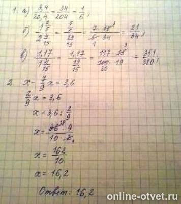
1.
Найдите значение выраж.
1.
Найти значение выражения.
Вычисление значения выражения.
Значение выражения: ( − 4 ) 2.
Найдите значение выражения 16a2-1/25b2:4a-1/5b.
Найдите значение выражения 15 964 5 2-1 2 0 1.
125 2304+653 1000-851 106 В столбик.
